Ответы
Ответ дал:
0
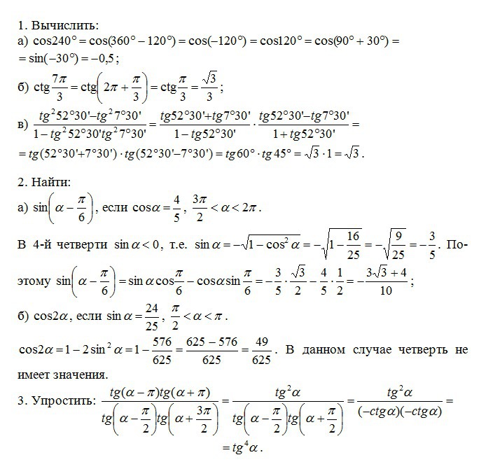
Решение в приложении.
Приложения:

Вас заинтересует
7 лет назад
9 лет назад
9 лет назад