• Предмет: Алгебра
  • Автор: katerinagil01
  • Вопрос задан 9 лет назад

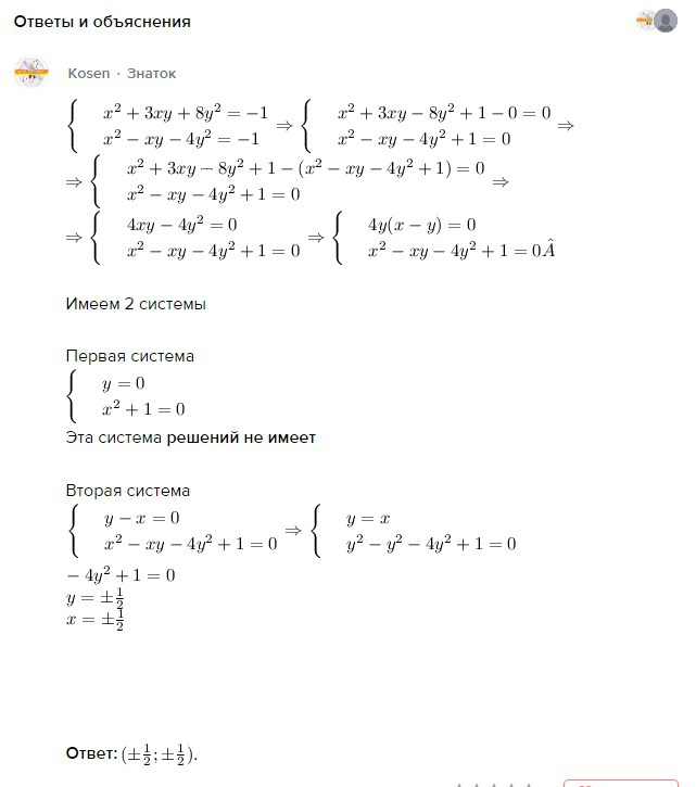
Решите систему уровнений{x^+3xy-8y^=-1; { x^-xy-4y^=-1

Ответы

Ответ дал: Аноним
0
..........................................................
Приложения:
Ответ дал: ВладимирБ
0
Решение смотри в приложении
Приложения:
Вас заинтересует