• Предмет: Алгебра
  • Автор: Надя30041996
  • Вопрос задан 9 лет назад

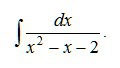
Обчислити інтеграл! Помогите пожалуйста!

Приложения:

Ответа на этот вопрос пока нет. Попробуйте найти его через форму поиска.

Вас заинтересует