• Предмет: Математика
  • Автор: fairytal
  • Вопрос задан 9 лет назад

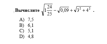
Помогите с математикой

Приложения:

Ответы

Ответ дал: ксениябелан
0
Ответ равен 6.1. Другими словами буква В.
Ответ дал: Trover
0
sqrt{1frac{24}{25}}-sqrt{0,09}+sqrt{3^2+4^2}=sqrt{frac{49}{25}}-0,03+sqrt{9+16}=\=frac75-0,3+sqrt{25}=frac75-frac3{10}+5=frac{14}{10}-frac3{10}+5=frac{11}{10}+5=\=1,1+5=6,1
Вас заинтересует