• Предмет: Математика
  • Автор: goosell
  • Вопрос задан 9 лет назад

помогите решить неопределенный интеграл. буду благодарен.

Приложения:

Ответы

Ответ дал: Аноним
0
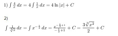
Решение прилагается............................
Приложения:
Вас заинтересует