• Предмет: Алгебра
  • Автор: NIka199999
  • Вопрос задан 9 лет назад

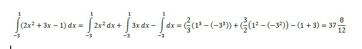
Найти определенный интеграл
 intlimits^1_ {-3} , (2x^2+3x-1) dx

Ответы

Ответ дал: arina271997
0
Расписала вам подробно решение 
Приложения:
Ответ дал: NIka199999
0
Огромное спасибо, выручили^^
Вас заинтересует