• Предмет: Физика
  • Автор: iravitiyuck
  • Вопрос задан 9 лет назад

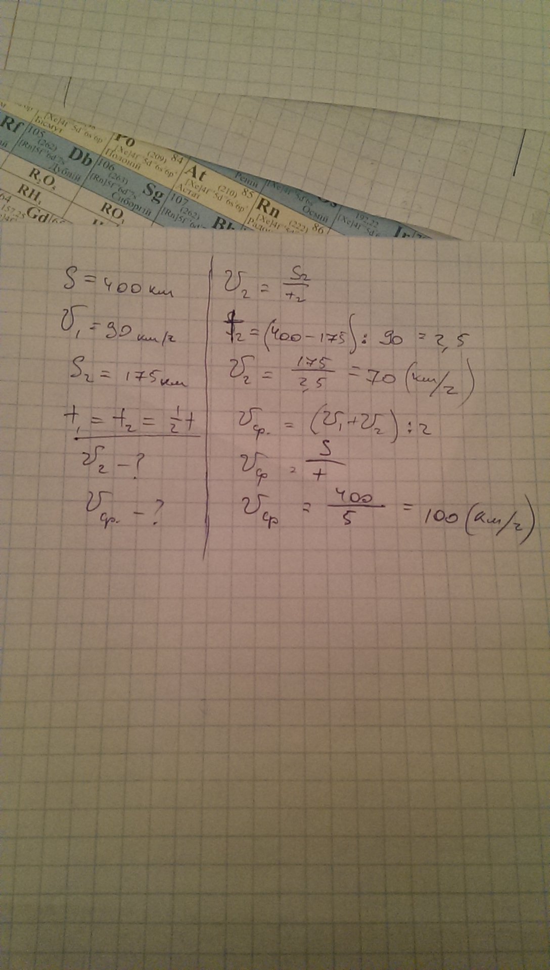
Автомобіль подолав 400 км.Відомо що першу половину всього часу руху він рухався зі швидкістю 90 км/год,а за другу половину часу руху проїхав 175 км.Якою була швидкість руху автомобіля на другій ділянці шляху?Визначте середню швидкість руху автомобіля на всьому шляху.Рух автомобіля на обох ділянках вважайте рівномірним

Ответы

Ответ дал: abesson
0
что-то в этом роде))
Приложения:
Вас заинтересует