Ответы
Ответ дал:
0
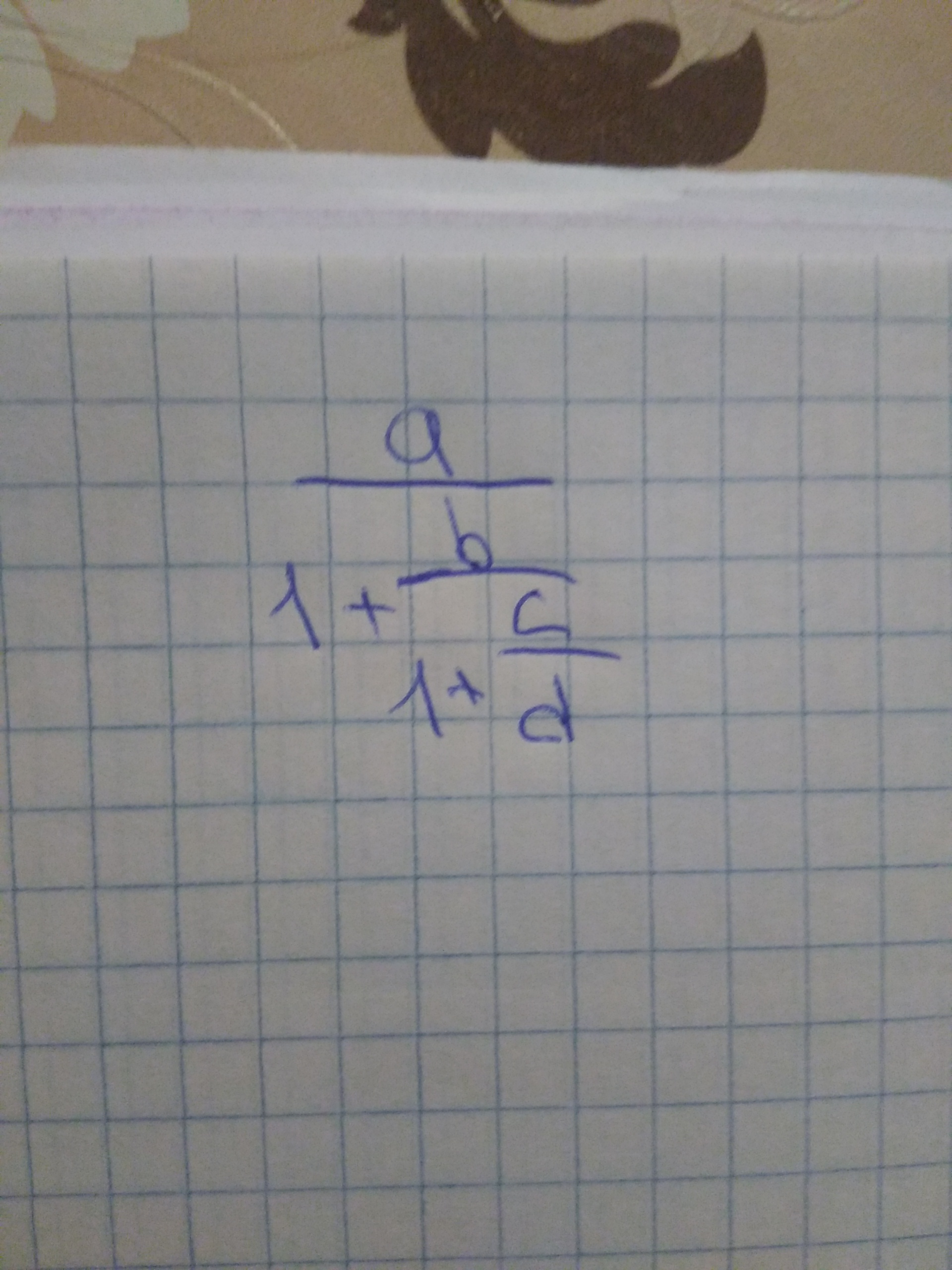
1) 1 + ( c/d ) = ( d + c )/d
2) b : ( ( d + c )/d ) = bd / ( d + c )
3) 1 + ( bd / ( d + c )) = ( d + c + bd ) / ( d + c )
4) a : ( ( d + c + bd )/( d + c ) = ( a( d + c ) ) / ( d + c + bd ) = ( ad + ac )/( d + c + bd )
Ответ ( ad + ac )/( d + c + bd )
2) b : ( ( d + c )/d ) = bd / ( d + c )
3) 1 + ( bd / ( d + c )) = ( d + c + bd ) / ( d + c )
4) a : ( ( d + c + bd )/( d + c ) = ( a( d + c ) ) / ( d + c + bd ) = ( ad + ac )/( d + c + bd )
Ответ ( ad + ac )/( d + c + bd )
Вас заинтересует
3 года назад
7 лет назад
7 лет назад
10 лет назад
10 лет назад
10 лет назад