• Предмет: Алгебра
  • Автор: September2007
  • Вопрос задан 9 лет назад

Помогите с алгеброй,пожалуйста
____
Заранее,спасибо!

Приложения:

Ответы

Ответ дал: MizoriesKun
0

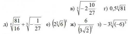
в)∛(-2 10/27)=∛(64/27)=∛(4³/3³)=4/3 =1 1/3

г) 0.5*⁴√81=0.5*⁴√3⁴=0.5*3=1.5

д)⁴√(81/16)+³√1/27=⁴√(3⁴/2⁴)+³√(1/3³)=3/2+1/3=11/6=1 5/6

е) (2∛6)³=2³*6=8*6=48

ж) 6/(3√2)²=6/9*2=6/18=1/3

з)-3∛(-6)³=-3*(-6)=18
Вас заинтересует