Ответы
Ответ дал:
0
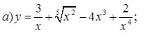
Используя свойство:

Находим:

![displaystyle ( sqrt[5]{x^2} )'=(x^{ frac{2}{5}})'= frac{2}{5} x^{- frac{3}{5} }= frac{2}{5} cdot frac{1}{ sqrt[5]{x^3} } = frac{2}{5 sqrt[5]{x^3} } displaystyle ( sqrt[5]{x^2} )'=(x^{ frac{2}{5}})'= frac{2}{5} x^{- frac{3}{5} }= frac{2}{5} cdot frac{1}{ sqrt[5]{x^3} } = frac{2}{5 sqrt[5]{x^3} }](https://tex.z-dn.net/?f=displaystyle+%28+sqrt%5B5%5D%7Bx%5E2%7D+%29%27%3D%28x%5E%7B+frac%7B2%7D%7B5%7D%7D%29%27%3D+frac%7B2%7D%7B5%7D+x%5E%7B-+frac%7B3%7D%7B5%7D+%7D%3D++frac%7B2%7D%7B5%7D+cdot++frac%7B1%7D%7B+sqrt%5B5%5D%7Bx%5E3%7D+%7D+%3D+frac%7B2%7D%7B5+sqrt%5B5%5D%7Bx%5E3%7D+%7D+)


Теперь, следуя вышеприведенному свойству, получаем:
![displaystyle f'(x)=-frac{3}{x^2}+frac{2}{5 sqrt[5]{x^3} } -12x^2-frac{8}{x^5} displaystyle f'(x)=-frac{3}{x^2}+frac{2}{5 sqrt[5]{x^3} } -12x^2-frac{8}{x^5}](https://tex.z-dn.net/?f=displaystyle+f%27%28x%29%3D-frac%7B3%7D%7Bx%5E2%7D%2Bfrac%7B2%7D%7B5+sqrt%5B5%5D%7Bx%5E3%7D+%7D+-12x%5E2-frac%7B8%7D%7Bx%5E5%7D)
Находим:
Теперь, следуя вышеприведенному свойству, получаем:
Вас заинтересует
3 года назад
7 лет назад
10 лет назад
10 лет назад