• Предмет: Математика
  • Автор: ваня935
  • Вопрос задан 9 лет назад

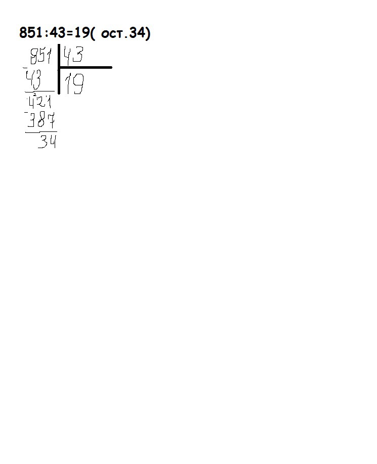
сколько будет 851:43 в стовпчик із остачею

Ответы

Ответ дал: УмникМ
0
Вот ответ на рисунке:
Приложения:
Ответ дал: antonmolka
0
ответ 19(ост. 34)
в столбик на картинке
Приложения:
Вас заинтересует