Ответы
Ответ дал:
0
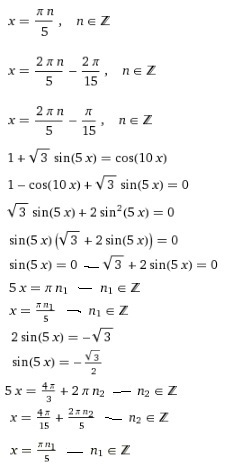
Вот краткий ответ, могу и подробно
Второй подробный)
Второй подробный)
Приложения:


Вас заинтересует
2 года назад
2 года назад
7 лет назад
9 лет назад
9 лет назад
10 лет назад
10 лет назад