Помогите решить !!!!!!!!!!!!!!!!!!!!!!!!!!!!!!!!!!!!!!!!!!!!!!!!!!!!!!!!!!!!!!!!!!!!!!!!!!!!!!!!!!
Приложения:

Ответы
Ответ дал:
0
1) а/(2b-1)-d/2b=(2ab-2bd+1d)/(2b(2b-1))
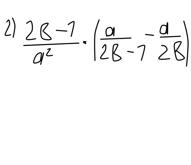
2) (2b-1)/a^2·(2ab-2bd+1d)/(2b(2b-1))=1/a^2·(2ab-2bd+1d)/2b
2) (2b-1)/a^2·(2ab-2bd+1d)/(2b(2b-1))=1/a^2·(2ab-2bd+1d)/2b
Ответ дал:
0
Приводим к общему множеству выражение в скобке:
1)a/2-1*a/2b домножаем на(*2b(2b-1))
2ab-2ab-a/2b(2b-1)
2)Выражение из скобки умножаем на 2b-1/a^2 :
(2b-1/a^2)*(a/2b^2-1)
ЗДЕСЬ МЫ ВИДИМ ВО ВТОРОЙ СКОБКЕ ФОРМУЛУ СОКРАЩЕННОГО УМНОЖЕНИЯ;
Сокращаем a^2 и a и Разложим 2b^2-1 НА:(2b-1)(2b+1),сократим 2b-1 и 2b-1
Получим:-(1/a(2b+1))
Ответ:-(1/a(2b+1))
1)a/2-1*a/2b домножаем на(*2b(2b-1))
2ab-2ab-a/2b(2b-1)
2)Выражение из скобки умножаем на 2b-1/a^2 :
(2b-1/a^2)*(a/2b^2-1)
ЗДЕСЬ МЫ ВИДИМ ВО ВТОРОЙ СКОБКЕ ФОРМУЛУ СОКРАЩЕННОГО УМНОЖЕНИЯ;
Сокращаем a^2 и a и Разложим 2b^2-1 НА:(2b-1)(2b+1),сократим 2b-1 и 2b-1
Получим:-(1/a(2b+1))
Ответ:-(1/a(2b+1))
Вас заинтересует
2 года назад
7 лет назад
9 лет назад
9 лет назад
10 лет назад
10 лет назад