• Предмет: Математика
  • Автор: IIPO1
  • Вопрос задан 9 лет назад

158*6-(468+354):3= Помогите прошу

Ответы

Ответ дал: wierdi1
0
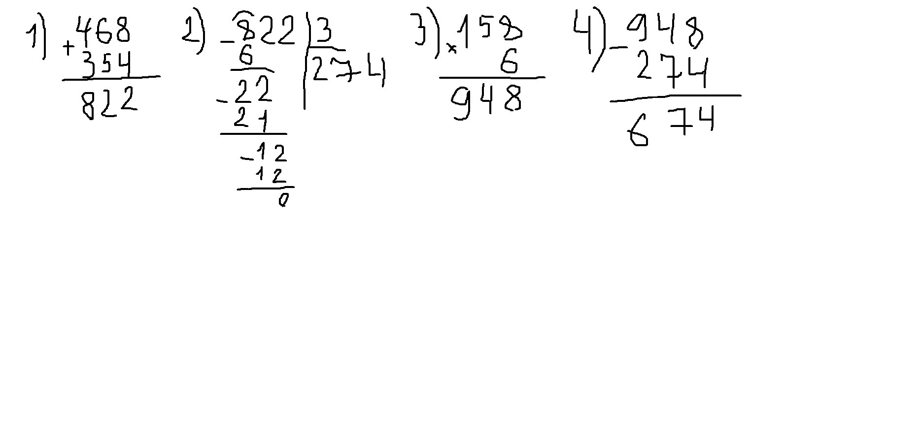
158*6=948
468+354=822
822:3=274
948-274=674
Ответ дал: Сампера
0
 ответ 674 ............
Приложения:
Ответ дал: IIPO1
0
Спасибо
Вас заинтересует