Ответы
Ответ дал:
0
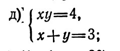
xy=4
x+y+1=4
xy=x+y+1
xy-x=y+1
x(y-1)=y+1
x=(y+1)/(y-1)
(y+1)/(y-1)*y=(y^2+y)/y-1=4
y^2+y=4y-4
y^2-3y+4=0
3+-корень из 9-4*4= 3+- корень из -7. Нельзя брать корень из отрицательного числа.
x+y+1=4
xy=x+y+1
xy-x=y+1
x(y-1)=y+1
x=(y+1)/(y-1)
(y+1)/(y-1)*y=(y^2+y)/y-1=4
y^2+y=4y-4
y^2-3y+4=0
3+-корень из 9-4*4= 3+- корень из -7. Нельзя брать корень из отрицательного числа.
Ответ дал:
0
корень из отрицательного не извлекается
Ответ дал:
0
И что?
Вас заинтересует
3 года назад
3 года назад
7 лет назад
10 лет назад
10 лет назад
10 лет назад