• Предмет: Алгебра
  • Автор: svetlana9june
  • Вопрос задан 9 лет назад

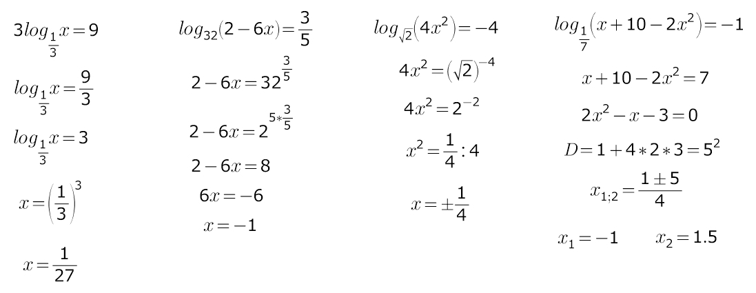
Нужно решение уравнений!

Приложения:

Ответы

Ответ дал: LFP
0
-----------------------------------
Приложения:
Вас заинтересует