Напишите уравнение касательной к графику функций f(x)=4x-3x2 , проведенный в точке с абциссой x=2
Ответы
Ответ дал:
0
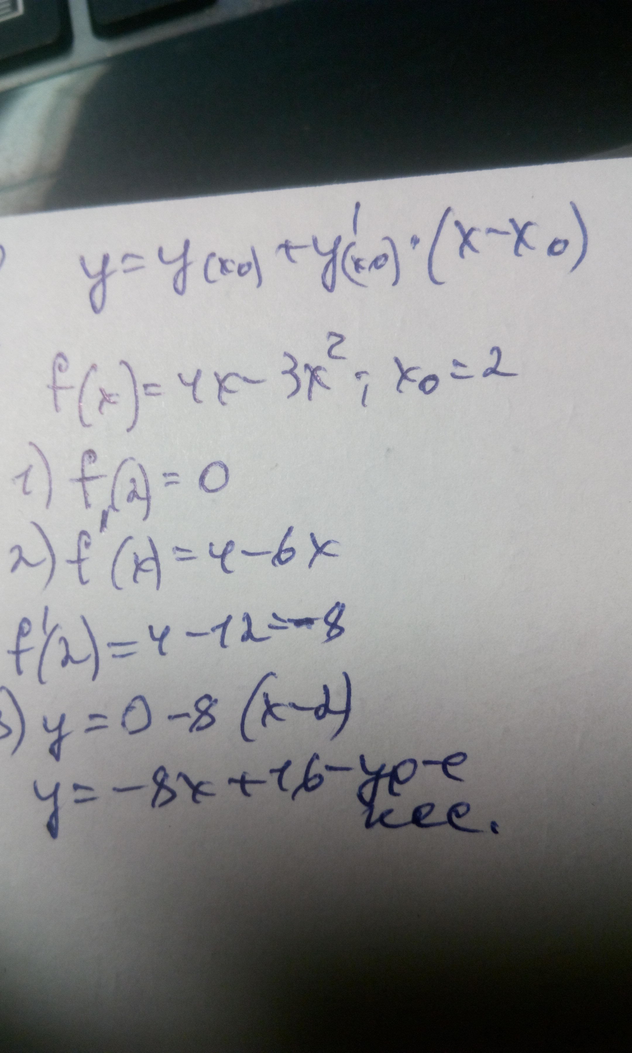
Решение дано на фото.
Приложения:

Ответ дал:
0
f(x)=4x-3x², х₀=2
Уравнение касательной,проведенной к графику функции в т.с данной абсциссой имеет вид:
f(x)=f(x₀)+f'(x₀)(x-x₀)
f'(x)=4-6x, f'(2)=4-6·2=4-12=-8,f(2)=4·2-3·2²=8-12=-4
f(x)=-4-8(x-2)=-4-8x+16=-8x+12
Ответ: f(x)= -8x+12
Уравнение касательной,проведенной к графику функции в т.с данной абсциссой имеет вид:
f(x)=f(x₀)+f'(x₀)(x-x₀)
f'(x)=4-6x, f'(2)=4-6·2=4-12=-8,f(2)=4·2-3·2²=8-12=-4
f(x)=-4-8(x-2)=-4-8x+16=-8x+12
Ответ: f(x)= -8x+12
Приложения:

Вас заинтересует
2 года назад
7 лет назад
7 лет назад
9 лет назад
10 лет назад
10 лет назад