• Предмет: Алгебра
  • Автор: csbordin
  • Вопрос задан 9 лет назад

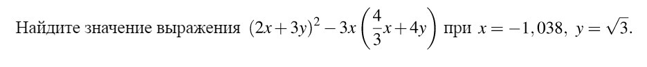
помогите решить пожалуйста

Приложения:

Ответы

Ответ дал: wangross
0
(2x+3y)^2-3x( frac{4}{3} x+4y)=4x^2+12xy+9y^2-4x^2-12xy=9y^2 \  \ 9y^2=9*( sqrt{3} )^2=9*3=27

Ответ: 27
Вас заинтересует