Ответы
Ответ дал:
0
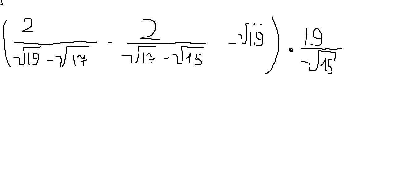
1)2(√19+√17)/[(√19-√17)(√19+√17)] -2(√17+√15)/[(√17-√15)(√17+√15)] - √19=
=2(√19+√17)/(19-17)-2(√17+√15)/(17-15) - √19=2(√19+√17)/2 -2(√17+√15)/2 - √19=√19*√17-√17-√15-√19=-√15
2)-√15*19/√15=-19
=2(√19+√17)/(19-17)-2(√17+√15)/(17-15) - √19=2(√19+√17)/2 -2(√17+√15)/2 - √19=√19*√17-√17-√15-√19=-√15
2)-√15*19/√15=-19
Ответ дал:
0
Что значит 2)-√15*19/√15=-19
Вас заинтересует
2 года назад
2 года назад
7 лет назад
7 лет назад
10 лет назад
10 лет назад