Ответы
Ответ дал:
0
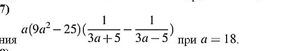
1)1/(3a+5)-1/(3a-5)/(9a²-25)=(3a-5-3a-5)/(9a²-25)=-10/(9a²-25)
2)a(9a-25)*(-10/(9a²-25))=-10a
a=18 -10*18=-180
2)a(9a-25)*(-10/(9a²-25))=-10a
a=18 -10*18=-180
Вас заинтересует
2 года назад
2 года назад
7 лет назад
7 лет назад
10 лет назад
10 лет назад
10 лет назад