• Предмет: Алгебра
  • Автор: matthew88
  • Вопрос задан 9 лет назад

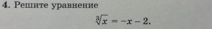
помогите срочно решить уравнение !!!!!!!!!!!!

Приложения:

Ответы

Ответ дал: СтасЕфремов
0
...................................................
Приложения:
Вас заинтересует