• Предмет: Математика
  • Автор: yamanako99
  • Вопрос задан 9 лет назад

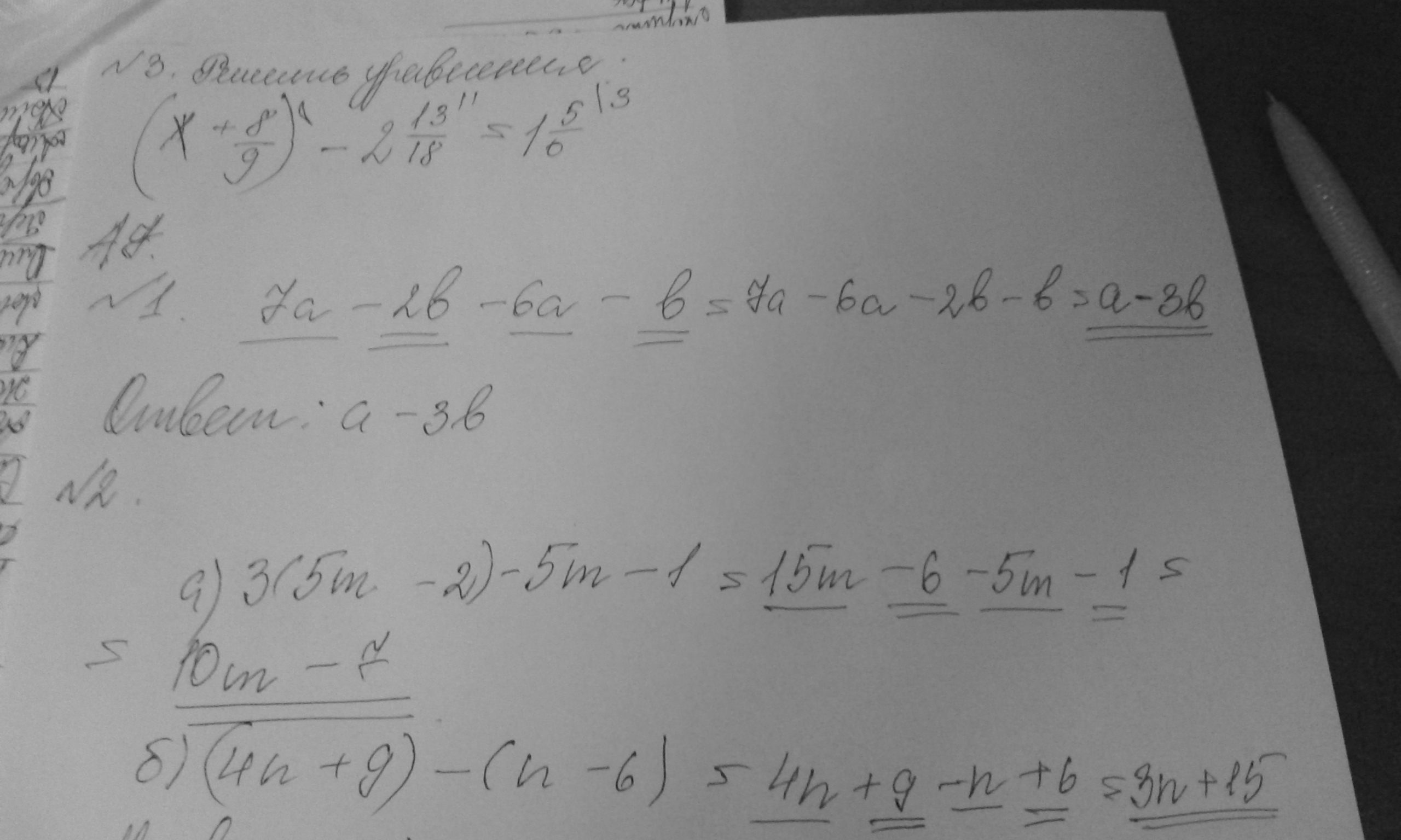
Помогите пожалуйста решить ВСЕ ДАЮ 40 БАЛЛОВ!!!!!!!!

Приложения:

Ответы

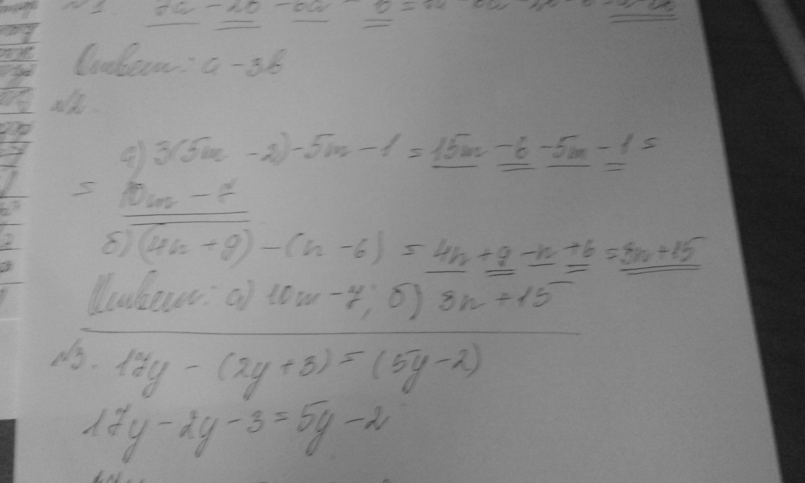
Ответ дал: nasstya05
0
Держи а7 (311)
Больше не могу, нет времени :С
Приложения:
Вас заинтересует