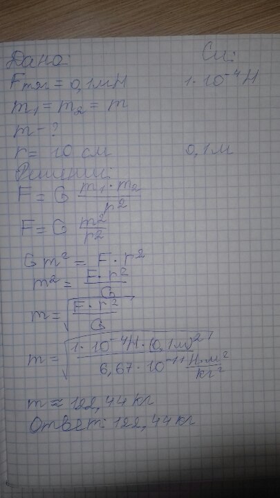
сила тяготения между двумя одинаковыми шарами 0,1 мН.Определите массу шаров,если расстояние между их центрами 10см
заранее спасибо
Ответы
Ответ дал:
0
Вот оно же ещё раз для тебя.
Приложения:
Вас заинтересует
2 года назад
2 года назад
7 лет назад
7 лет назад
10 лет назад
10 лет назад
10 лет назад