• Предмет: Алгебра
  • Автор: крекре
  • Вопрос задан 9 лет назад

ПОМОГИТЕ РЕШИТЬ ПОЖАЛУЙСТА:* ЗАРАНЕЕ СПАСИБО

Приложения:

Ответы

Ответ дал: Аноним
0
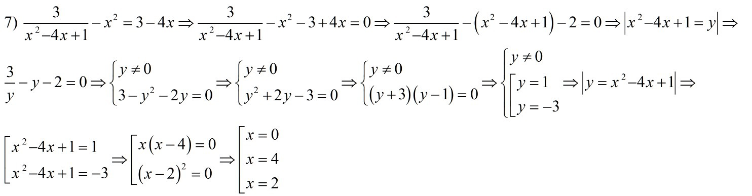
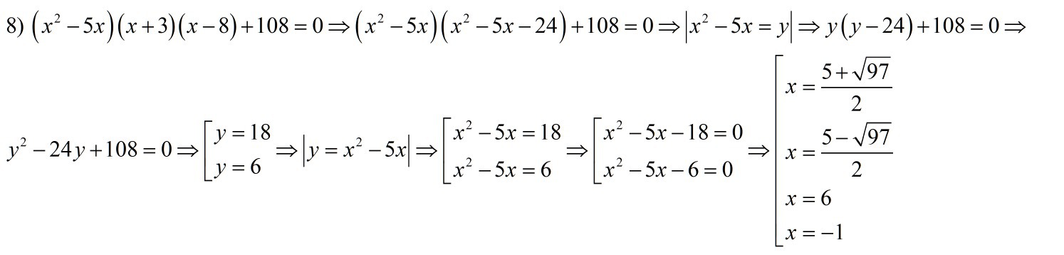
решение смотри во вложении
Приложения:
Вас заинтересует