• Предмет: Алгебра
  • Автор: 220620043
  • Вопрос задан 9 лет назад

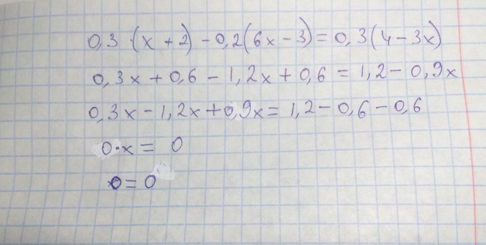
0.3(х+2)-0.2(6х-3)=0.3(4-3х) как решить с правельным оформлением

Ответы

Ответ дал: CirillaFionaRianon
0
Доказательство равенства левой и правой частей
Приложения:
Вас заинтересует