мне нужна только блок схема
Помогите ребята срочно!
Спасибо за понимание
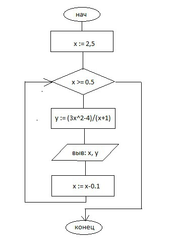
Составить программу табулирования функции у=(3х^2-4)/(х+1) на интервале [0.5; 2.5] с шагом 0.1
Ответы
Ответ дал:
0
блок-схема на фотке. только вот не уточнено в каком виде должны выводиться результаты. у меня выводятся по мере их вычисления, но можно сделать и массивом, тогда все значения будут храниться в программе.
Приложения:

Вас заинтересует
2 года назад
2 года назад
7 лет назад
9 лет назад
9 лет назад