Al Cl3
FeO
Li2O
Mn2O7
Определите валентность и объясните пожалуйста,почему именно так,я не могу понять эту тему,буду очень благодарна за ответ)))
Ответы
Ответ дал:
0
валентность елемента почти всегда совпадает с номером группы в которой он расположен. есть исключения как оксиген он находится в 6 группе но у него валентность 2. у некоторых елемкнтов валентность меняется. в некоторых случаях (простите забыла конкретно в каких так как проходили это в прошлом году) валентность елемента равна 8(последний номер группы) минус номер группы елемента.
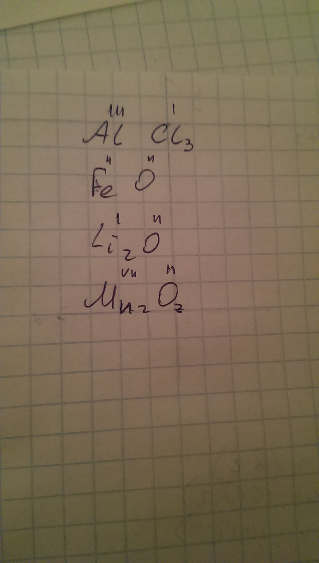
возьмем к примеру Al Cl3 : у алюминия валентность 3 а у хлора 1, мы приравниваем так чтобы количество элемента (в данном случае у хлора 3) при умножении на валентность одного элемента равнялось числу у второго элемента(полученному таким же способом)
Объяснила как могла, сама пропустила эту тему и слушала лекцию от сестры (у неё хорошо с химией) Надеюсь понятно
возьмем к примеру Al Cl3 : у алюминия валентность 3 а у хлора 1, мы приравниваем так чтобы количество элемента (в данном случае у хлора 3) при умножении на валентность одного элемента равнялось числу у второго элемента(полученному таким же способом)
Объяснила как могла, сама пропустила эту тему и слушала лекцию от сестры (у неё хорошо с химией) Надеюсь понятно
Приложения:
Ответ дал:
0
У О это постоянная валентность, это исключение. А у Fe несколько валентностей в этом соединении 2
Ответ дал:
0
Чтобы определить валентность в бинарных соединениях, необходимо знать валентность одного из них. В формуле хлорида алюминия - алюминий в соединениях проявляет валентность равную трем, так как он находится в IIIА группе. Чтобы определить валентность хлора необходимо индекс 1 умножить на валентность алюминия 3 и разделить на индекс, стоящий возле атома хлора 3 получим 1*3/3=1, то есть валентность хлора равна единице.
Аналогично по остальным, зная, что валентность кислорода в оксидах равна двум, в оксиде железа - валентность железа равна двум (индекс возле атома кислорода 1 умножаем на валентность атома кислорода 2 и делим на индекс при атоме железа 1); в оксиде лития - валентность лития равна единице (индекс возле атома кислорода 1 умножаем на валентность атома кислорода 2 и делим на индекс при атоме лития - 1); в оксиде марганца - валентность марганца равна семи (валентность кислорода 2 умножаем на индекс при кислороде 7 и делим на индекс при атоме марганца 2).
Аналогично по остальным, зная, что валентность кислорода в оксидах равна двум, в оксиде железа - валентность железа равна двум (индекс возле атома кислорода 1 умножаем на валентность атома кислорода 2 и делим на индекс при атоме железа 1); в оксиде лития - валентность лития равна единице (индекс возле атома кислорода 1 умножаем на валентность атома кислорода 2 и делим на индекс при атоме лития - 1); в оксиде марганца - валентность марганца равна семи (валентность кислорода 2 умножаем на индекс при кислороде 7 и делим на индекс при атоме марганца 2).
Приложения:
Вас заинтересует
2 года назад
2 года назад
7 лет назад
7 лет назад
10 лет назад
10 лет назад
10 лет назад