• Предмет: Алгебра
  • Автор: Strawberryandapple
  • Вопрос задан 11 лет назад

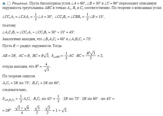
биссектрисы внутренних углов треугольника продолжены до пересечения с описанной около треугольника окружностью . в результате попарного соединения этих точек получился новый треугольник . известно, что углы исходного треугольника равны 30, 60 и 90 градусов, а его площадь равна 2. найдите площадь нового треугольника.

Ответы

Ответ дал: artalex74
0

Предлагаю решение задачи.

Приложения:
Вас заинтересует