Ответы
Ответ дал:
0
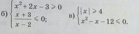
Б)
{ x^2+2x-3>=0
{ (x+3)/(x-2)<=0
Разложим на множители
{ (x+3)(x-1)>=0
{ (x+3)/(x-2)<=0
По методу интервалов
{ x€(-oo; -3]U[1;+oo)
{ x€[-3;2)
Ответ: x€[3]U[1;2)
В)
{ |x|>=4
{ x^2-x-12<=0
Разложим на множители
{ |x|>=4
{ (x+3)(x-4)<=0
По методу интервалов
{ x€(-oo;-4]U[4;+oo)
{ x€[-3;4]
Ответ: [4] - одна точка.
{ x^2+2x-3>=0
{ (x+3)/(x-2)<=0
Разложим на множители
{ (x+3)(x-1)>=0
{ (x+3)/(x-2)<=0
По методу интервалов
{ x€(-oo; -3]U[1;+oo)
{ x€[-3;2)
Ответ: x€[3]U[1;2)
В)
{ |x|>=4
{ x^2-x-12<=0
Разложим на множители
{ |x|>=4
{ (x+3)(x-4)<=0
По методу интервалов
{ x€(-oo;-4]U[4;+oo)
{ x€[-3;4]
Ответ: [4] - одна точка.
Вас заинтересует
3 года назад
3 года назад
7 лет назад
7 лет назад
10 лет назад
10 лет назад