• Предмет: Математика
  • Автор: Димабас
  • Вопрос задан 9 лет назад

математика 5 класс стр 72 номер 444

Ответы

Ответ дал: katrinanikishok
0
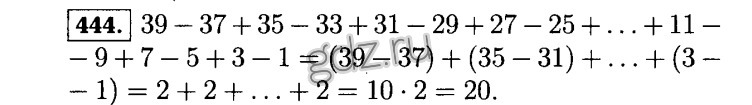
если автор учебника Н.Я.Виленкин то вот решение 
Приложения:
Вас заинтересует