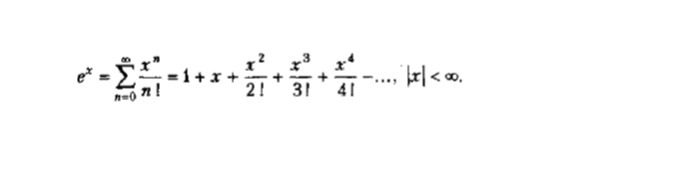
Вычислить и вывести на экран в виде таблицы значения функции, заданной с помощью ряда Тейлора, на интервале от Xнач до Xкон с шагом dx с точностью e. Таблицу снабдить заголовком и шапкой. Каждая строка таблицы должна содержать значение аргумента, значение функции и количество просуммированных членов ряда.
Написать программу в паскале

Приложения:

Ответы

Ответ дал: Aillianna
0

var
    x0, xk, dx, e, x, a, s: real;
    i: integer;

begin
    readln(x0, xk, dx, e);
    x := x0;
    writeln(' i ':3, ' ', ' x ':10, ' ', ' s ':10);
    repeat
        a := 1;
        s := a;
        i := 0;
        
        repeat
            i := i + 1;
            a := a * x / i;
            s := s + a;
            writeln(i:3, ' ', x:10:3, ' ', s:10:3);
        until abs(a) < e;
        
        x := x + dx;
    until x >= xk;
end.
Вас заинтересует