Решите систему уравнений методом подстановки. (12.2 в,г; 12.3 в,г;12,4 в,г)
Пожалуйста, если не сложно, то распишите всё, а то меня не было на этой теме.
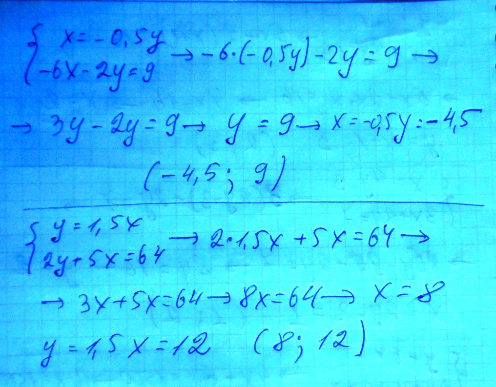
Приложения:

Ответы
Ответ дал:
0
!!!!!!!!!!!!!!!!!!!!!!!!!!!!!!!!!!!!
Приложения:


Вас заинтересует
2 года назад
2 года назад
7 лет назад
7 лет назад
9 лет назад
9 лет назад
10 лет назад
10 лет назад