Ответы
Ответ дал:
0
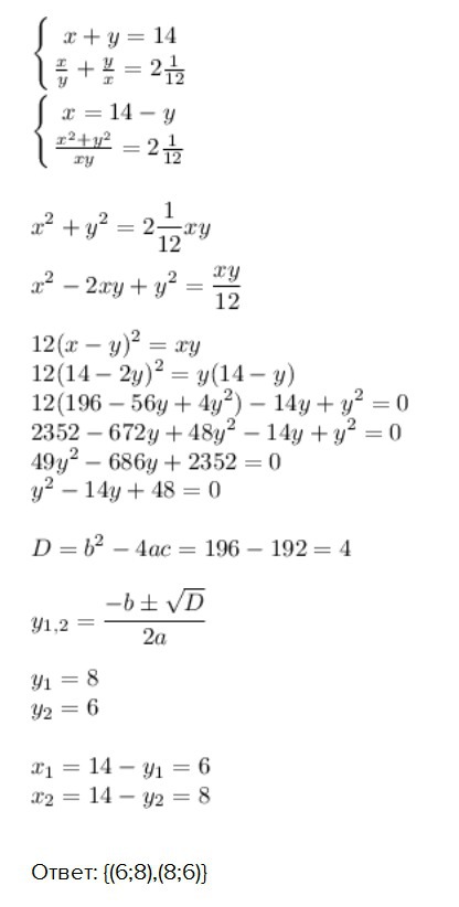
Ответ: {(6;8),(8;6)}
Приложения:

Вас заинтересует
2 года назад
7 лет назад
7 лет назад
10 лет назад
10 лет назад