• Предмет: Математика
  • Автор: kirillmanannikov
  • Вопрос задан 9 лет назад

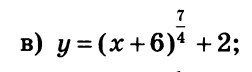
Построить график функций.
Помогите пожалуйста

Приложения:

Ответы

Ответ дал: potapov19461
0
Область определения функции х≥-6, т.к. в дробную степень можно возводить положительные числа, и нуль, если показатель положительный, как в нашем случае
 Таблица значений
х  -6    -5    -4        -2           0
у   2      3    ≈5,4    ≈ 13,3   ≈25

Область значений у≥2.
Вас заинтересует