Ответы
Ответ дал:
0
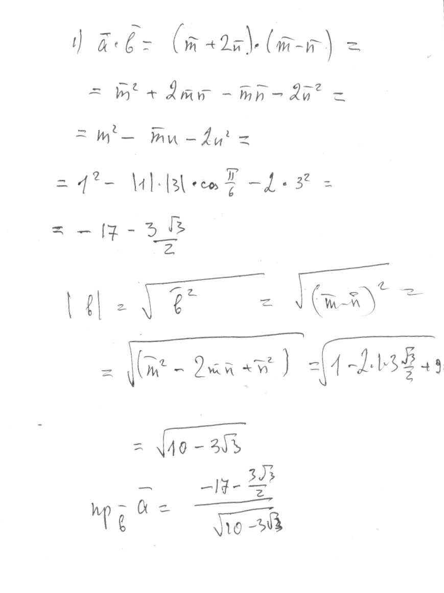
Векторы а и б даны, находим их произведение, потом модуль вектора б, и делим, согласно формуле.
Приложения:

Ответ дал:
0
Спасибо большое
Ответ дал:
0
а откуда взялось 2*3^2
Ответ дал:
0
2п^2= 2*3^2, т.к. модуль вектора п равен 3.
Вас заинтересует
7 лет назад
9 лет назад