• Предмет: Математика
  • Автор: KalenaQv
  • Вопрос задан 9 лет назад

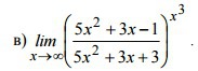
Найти предел функции:

Приложения:

Ответы

Ответ дал: nKrynka
0
Решение
limx--> ∞ [(5 + 3/x - 1/x²)/(5 + 3/x + 3/x²)]^(x) = 1^(∞) = e^x
Вас заинтересует