• Предмет: Алгебра
  • Автор: rebrovavlada
  • Вопрос задан 9 лет назад

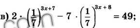
Поможете с примером

Приложения:

Ответы

Ответ дал: NNNLLL54
0
2cdot ( frac{1}{7} )^{3x+7}-7cdot (frac{1}{7})^{3x+8}=49\\2cdot 7^{-3x-7}-7cdot 7^{-3x-8}=49\\7^{-3x-7}cdot (2-7cdot 7^{-1})=7^2; ,; (7^{-1}=frac{1}{7})\\7^{-3x-7}cdot (2-1)=7^2\\7^{-3x-7}=7^2\\-3x-7=2\\-3x=9\\x=-3
Вас заинтересует