• Предмет: Алгебра
  • Автор: DONWOGL
  • Вопрос задан 9 лет назад

Кто решит дам 75 баллов за лучший ответ.

Приложения:

Ответы

Ответ дал: Yutuberka
0
Ответ: x3 5;3 5.
Ответ дал: flsh
0
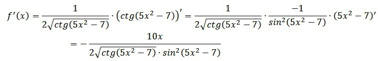
Сделал ещё три небольших преобразования. Дальнейшее упрощение, похоже, не имеет смысла
Приложения:
Вас заинтересует