• Предмет: Алгебра
  • Автор: nabizhan2002
  • Вопрос задан 9 лет назад

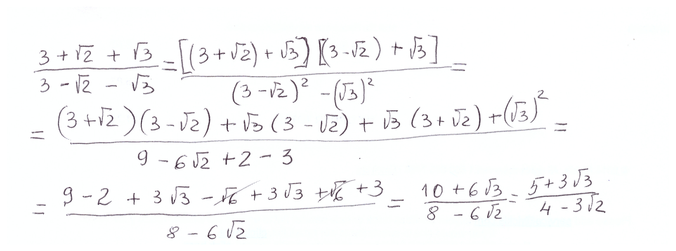
3 плюс корень 2 плюс корень 3 делить на 3 минус корень 2 минус корень 3

Ответы

Ответ дал: raisaallukina
0
Решение во вложенном файле.
Приложения:
Вас заинтересует