Ответы
Ответ дал:
0
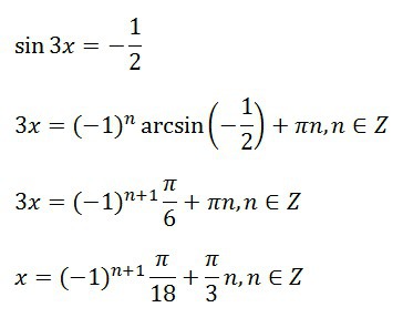
[tex]sin3x=-1/2 \ потом действуем по картинке ниже
Приложения:

Вас заинтересует
2 года назад
7 лет назад
7 лет назад
9 лет назад
10 лет назад