Ответы
Ответ дал:
0
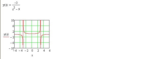
График в отдельном файле. Асимптоты графика - вертикальные линии при х=3 (при х=3 знаменатель равен нулю).
Приложения:

Ответ дал:
0
Не совсем понял, что значит "решить". Если этого не достаточно - пишите, распишу подробнее.
Вас заинтересует
2 года назад
7 лет назад
7 лет назад
9 лет назад
10 лет назад