• Предмет: Алгебра
  • Автор: Hoewr
  • Вопрос задан 9 лет назад

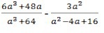
Помогите решить. ( 8 класс )

Приложения:

Ответы

Ответ дал: olesyakalinina30
0
Я думаю, что так:))))))
Приложения:
Вас заинтересует