• Предмет: Алгебра
  • Автор: akhmedlielshan
  • Вопрос задан 9 лет назад

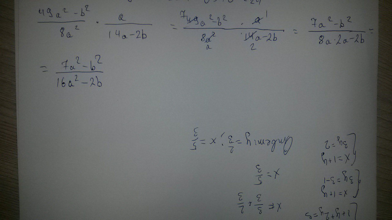
выполните умножение

Приложения:

Ответы

Ответ дал: Prost0Vlad
0
0,,,,,,,,,,,,,,,,,,,,,,,,,,,,,,,,,,,,,,,,,,,,,,,,,,,,,,,,,,,,,,,,,,
Приложения:
Ответ дал: mmaarriii
0
........................................
Приложения:
Вас заинтересует