Ответы
Ответ дал:
0
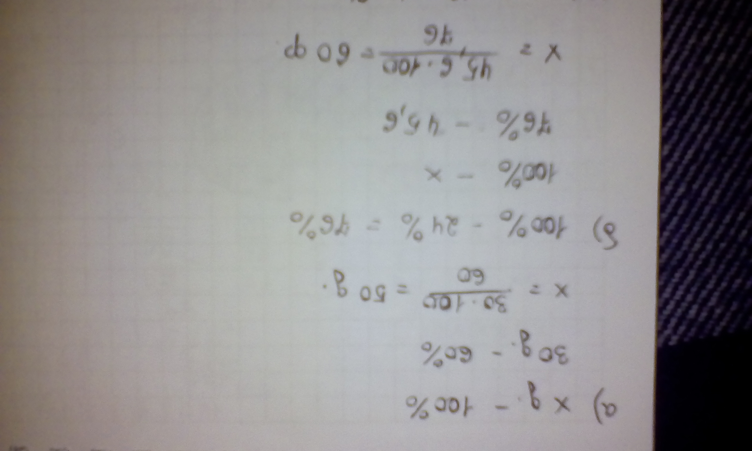
230 номер, если что-то не понятно, пиши, я объясню)
Приложения:

Вас заинтересует
2 года назад
2 года назад
7 лет назад
7 лет назад
9 лет назад
10 лет назад