Ответы
Ответ дал:
0
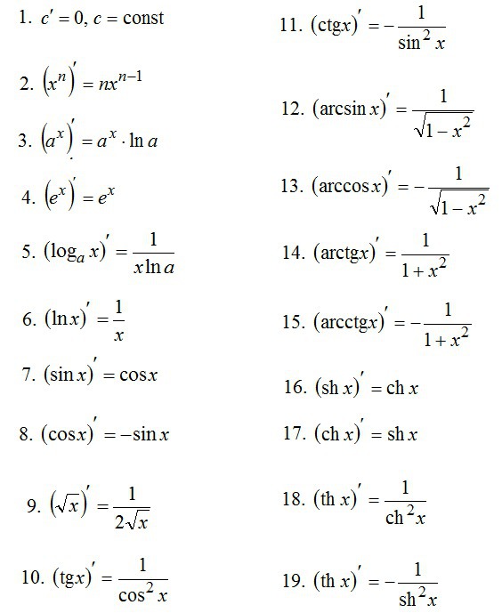
1. б у = 3х^9 у(штрих) = 27х^8
2. в у = 3х^5 - 2x у(штрих) = 15x^4 - 2
3. в у = x^9/9 у(штрих) = x^8
4. в у = 2 + cos(x) у(штрих) = -sin(x)
5. а у = x^4 + 2(корень х) у(штрих) = 4x^3 +1/(корень х)
6. б у = 1/x^3 у(штрих) = -3/x^4
2. в у = 3х^5 - 2x у(штрих) = 15x^4 - 2
3. в у = x^9/9 у(штрих) = x^8
4. в у = 2 + cos(x) у(штрих) = -sin(x)
5. а у = x^4 + 2(корень х) у(штрих) = 4x^3 +1/(корень х)
6. б у = 1/x^3 у(штрих) = -3/x^4
Приложения:
Ответ дал:
0
решение их есть?
Вас заинтересует
2 года назад
7 лет назад
10 лет назад
10 лет назад
10 лет назад