• Предмет: Алгебра
  • Автор: DjdbdjВОВА
  • Вопрос задан 9 лет назад

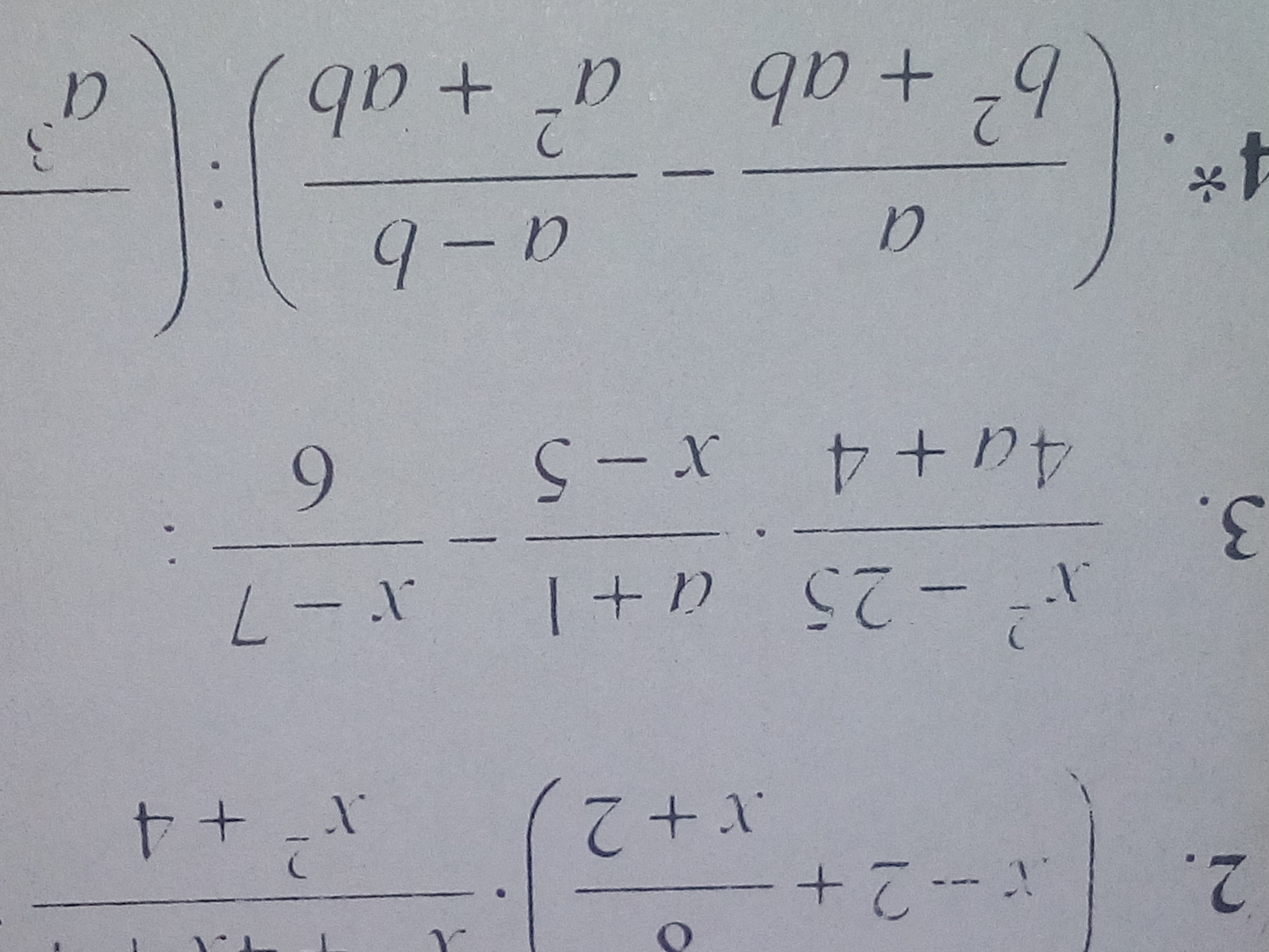
3. Помогите пожалуйста! Дам 10 баллов

Приложения:

Ответы

Ответ дал: zahra3
0
(X-5)(x+5)/4(a+1)*a+1/x-5-(x-7/6)
X+5/4-(x-7/6)=3x+15/12-(2x-14/12)=x-1
Ответ дал: zahra3
0
))незачто
Вас заинтересует