• Предмет: Алгебра
  • Автор: denLukjanets
  • Вопрос задан 9 лет назад

Помогите решить срочно решение подробно пожалуйста )

Приложения:

Ответы

Ответ дал: tima2334
0
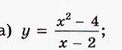
y=(x-2)(x+2)/(x-2)⇒(x-2) сокращается и получается y=x+2
Вас заинтересует