помогите пожалуйста решить систему уравнений!Заранее спасибо!
а) 5х-2у=9
7х+2у=3
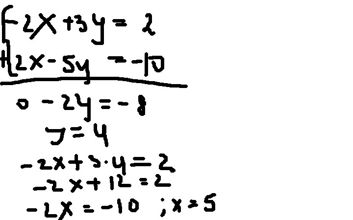
б) -2х+3у=2
2х-5у=-10
Ответы
Ответ дал:
0
...............................................................................
Приложения:


Вас заинтересует
2 года назад
2 года назад
7 лет назад
7 лет назад
9 лет назад
10 лет назад
10 лет назад