• Предмет: Математика
  • Автор: cvetlana171
  • Вопрос задан 9 лет назад

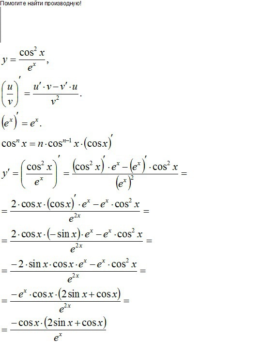
Помогите найти производную у= соs2х / eх

Ответы

Ответ дал: kirichekov
0
решение во вложении----------------------
Приложения:
Вас заинтересует