Ответы
Ответ дал:
0
.................................
Приложения:

Ответ дал:
0
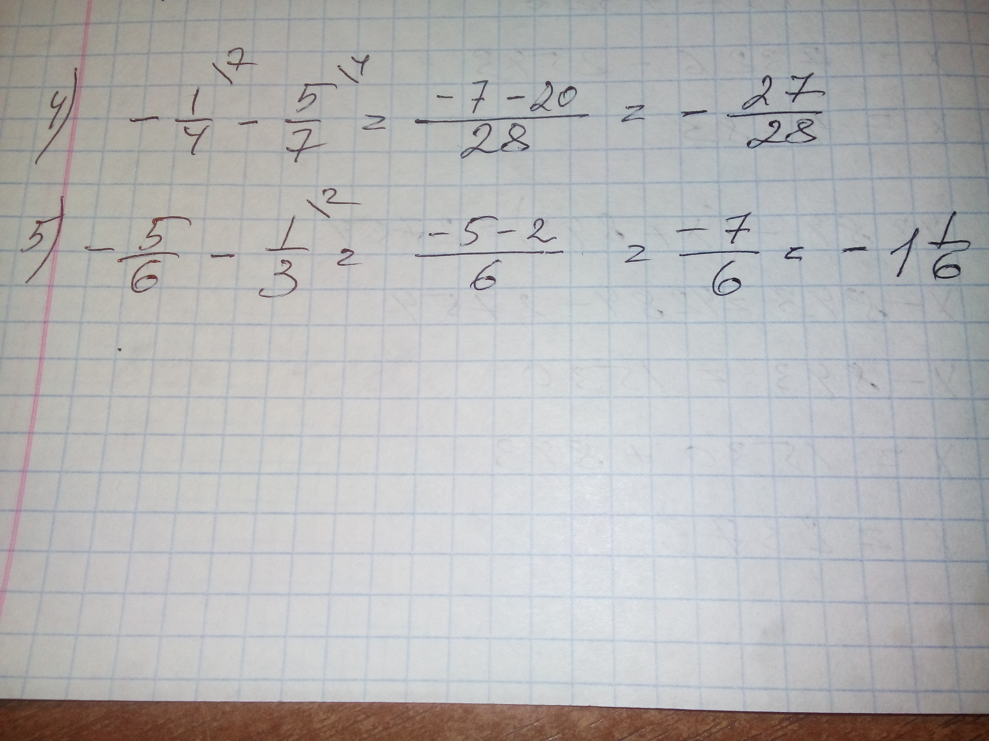
4)-1/4-5/7
приводим к общему знаменателю
общий знаменатель:28
теперь находи общий множитель у 1 будет множитель 7,а у 5 будет множитель 4
тогда получаются дроби: -7/28-20/28=-27/28
5)-5/6-1/3
тут почти все тоже как в 4 примере:
общей знаменатель:6
тогда получается дроби:-5/6-2/6=-7/6
приводим к общему знаменателю
общий знаменатель:28
теперь находи общий множитель у 1 будет множитель 7,а у 5 будет множитель 4
тогда получаются дроби: -7/28-20/28=-27/28
5)-5/6-1/3
тут почти все тоже как в 4 примере:
общей знаменатель:6
тогда получается дроби:-5/6-2/6=-7/6
Приложения:

Вас заинтересует
2 года назад
2 года назад
7 лет назад
9 лет назад
9 лет назад
10 лет назад